合作客户/
拜耳公司 |
同济大学 |
联合大学 |
美国保洁 |
美国强生 |
瑞士罗氏 |
相关新闻Info
推荐新闻Info
-
> 气溶胶固定剂PAM-b-PVTES合成路线及GPC、DSC、表面张力等性能测试(四)
> 气溶胶固定剂PAM-b-PVTES合成路线及GPC、DSC、表面张力等性能测试(三)
> 气溶胶固定剂PAM-b-PVTES合成路线及GPC、DSC、表面张力等性能测试(二)
> 气溶胶固定剂PAM-b-PVTES合成路线及GPC、DSC、表面张力等性能测试(一)
> 烷基糖苷聚氧丙烯醚制备过程、表面张力、泡沫去污乳化性能测定——结果与讨论、结论
> 烷基糖苷聚氧丙烯醚制备过程、表面张力、泡沫去污乳化性能测定——摘要、实验
> 烷基-β-D-吡喃木糖苷溶解性、表面张力、乳化性能等理化性质研究(四)
> 烷基-β-D-吡喃木糖苷溶解性、表面张力、乳化性能等理化性质研究(三)
> 烷基-β-D-吡喃木糖苷溶解性、表面张力、乳化性能等理化性质研究(二)
> 烷基-β-D-吡喃木糖苷溶解性、表面张力、乳化性能等理化性质研究(一)
聚氧乙烯链长度调控非离子Gemini表面活性剂的表面张力、接触角(三)
来源:高等学校化学学报 浏览 481 次 发布时间:2024-12-20
2结果与讨论
2.1非离子Gemini表面活性剂的合成与结构表征
图1为2,5,8,11-四甲基~6-十二炔~5,8-二醇、P1、P2、P3和P4的FTIR谱图。
4种Gemini表面活性剂均在1098 cm‒1处出现C—O—C的伸缩振动峰,而2,5,8,11-四甲基~6-十二炔~5,8-二醇与环氧乙烷在1098 cm‒1处未出现伸缩振动峰,表明环氧乙烷成功聚合。采用3种方法对表面活性剂环氧乙烷的聚合度(DPm)进行表征:(1)通过将产物质量与2,5,8,11-四甲基~6-十二炔~5,8-二醇质量的差值除以环氧乙烷的摩尔质量,得到聚合的环氧乙烷的摩尔数。根据环氧乙烷的摩尔数与2,5,8,11-四甲基~6-十二炔~5,8-二醇的摩尔数的比值确定环氧乙烷的聚合度;(2)利用1H NMR谱图上聚氧乙烯链上亚甲基氢的积分面积来计算环氧乙烷的聚合度;(3)利用凝胶渗透色谱(GPC)技术测定样品的数均分子量(Mn),用Mn与2,5,8,11-四甲基~6-十二炔~5,8-二醇的摩尔质量的差值除以环氧乙烷的摩尔质量,计算出环氧乙烷的聚合度。利用方法(1),计算得到P1,P2,P3和P4的环氧乙烷的聚合度分别为3.7,7.4,10.6和14.4;利用方法(2),从1H NMR谱图(图S1——S4)上可以看出4个产物分别在δ3.45——3.86,3.42——3.99,3.47——3.89和3.48——3.92处出现聚氧乙烯链上亚甲基的氢,通过积分面积计算得到P1,P2,P3和P4的环氧乙烷的聚合度分别为4,8,10和14;利用方法(3),通过GPC对4种表面活性剂的分子量表征结果(计算得到P1,P2,P3和P4的环氧乙烷的聚合度分别为4.8,9.2,10.3和14.3.3种分析方法得到环氧乙烷聚合度的结果显示出高度的一致性。
2.2表面张力性能
为研究4种非离子Gemini表面活性剂的表面活性,采用液滴体积法测定了不同浓度下的表面张力。图2示出P1,P2,P3和P4的溶液表面张力与浓度对数的关系。溶液的表面张力随浓度的增加而降低,当溶液的浓度高于cmc后,表面张力达到最低值并基本趋于稳定。这是由于随着表面活性剂浓度的升高,在气/液界面上吸附的表面活性剂分子数量增多,界面上的分子排列越来越紧密,表面张力持续下降;当表面活性剂浓度达到cmc后,溶液内部的分子开始聚集形成胶束聚集体,表面活性剂分子在界面上达到饱和吸附,因此cmc之后表面张力趋于稳定。
由图2可知,P1,P2,P3和P4的cmc分别为8.51×10-4,1.44×10-3,2.27×10-3和2.72×10-3 mol/L;γcmc分别为27.97,27.19,27.49和31.19 mN/m.可见,随着聚氧乙烯链长度的增加,4种非离子Gemini表面活性剂的cmc逐渐增加,这是由于随着聚氧乙烯链长度的增加,表面活性剂的疏水作用减弱,不利于胶束的形成。γcmc随着聚氧乙烯链长度的增加先减小后增加,其中P2的γcmc最低,为27.19 mN/m,这可能是由于P2分子内部的亲水性和疏水性达到了平衡,能稳定排列在气/液界面上,降低表面张力的能力最强。P2,P3和P4的γcmc随着聚氧乙烯链长度的增加逐渐升高,这是由于亲水性聚氧乙烯链长度的增加使得表面活性剂分子在水溶液中卷曲程度增大,在界面处占据的空间增大,降低了分子在界面上的铺展紧密度,从而导致γcmc升高。
为进一步研究表面活性剂在空气/水界面处的聚集和吸附状态,通过数据拟合计算得出Γmax,Amin,pc20,ΔG0m ic和ΔG0a ds等表面特性参数。由表1可见,随着聚氧乙烯链长度的增加,Γmax逐渐降低,Amin逐渐增加,这是由于亲水链较长的表面活性剂分子可能会发生缠绕或者折叠,导致每个分子在气/液界面上所占据的面积增大,从而降低了表面活性剂分子在界面处的吸附量。
pc20是水表面张力降低20 mN/m时所需要的表面活性剂浓度的负对数,用于表征表面活性剂分子的吸附效率。通常,表面活性剂的pc20越大,降低水表面张力的效率越高。4种非离子Gemini表面活性剂中P2的pc20最大,表明P2降低水表面张力的效率最强。用cmc/c20表征表面活性剂胶束化和界面吸附的相对趋势:cmc/c20值越大,说明表面活性剂分子越倾向于在界面处发生吸附,而不是在溶液内部形成胶束。与表面活性剂P2,P3和P4相比,P1的cmc/c20值最小,更倾向于在溶液内部形成胶束,这与P1的cmc值最低相一致。
利用ΔG0a ds和ΔG0m ic表征表面活性剂的热力学性质。P1,P2,P3和P4的ΔG0a ds和ΔG0m ic均小于0,说明表面活性剂在气/液界面层上的吸附行为以及在水溶液中形成胶束的行为是自发进行的。4种表面活性剂的ΔG0a ds均小于ΔG0m ic,表明表面活性剂分子在溶液中会先形成吸附层,当气/液界面吸附达到饱和状态后才开始在溶液内部形成胶束聚集体。
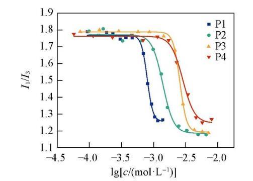
2.3荧光法测定cmc
为进一步研究表面活性剂在水溶液中的聚集行为,利用芘分子稳态荧光光谱法测定cmc.用芘分子的第一发射峰(373 nm)和第三发射峰(384 nm)的荧光强度比(I1/I3)对表面活性剂芘饱和水溶液的浓度对数作图,突变点即为表面活性剂的临界胶束浓度。
由图3可见,当表面活性剂的浓度较低时,I1/I3在1.70——1.80之间波动;当表面活性剂浓度逐渐增加至cmc时,I1/I3值急剧下降,说明表面活性剂分子开始形成胶束,使得芘分子转移至疏水胶束内,芘分子所处的环境极性发生突变;在较高表面活性剂浓度下,I1/I3值趋于稳定,这是由于芘分子已经完全处于胶束中,所处的环境极性不再发生变化。通过Boltzmann方程拟合得到表面活性剂P1,P2,P3和P4的cmc值分别为7.96×10-4,1.39×10-3,2.57×10-3和2.85×10-3 mol/L。结果表明,随着聚氧乙烯链长度的增加,cmc逐渐增大。采用荧光法测得的cmc与采用表面张力法测得的cmc数值接近且变化趋势一致。